dslogo
headermain
pricingheader
Home  About  Software  Research  Contact

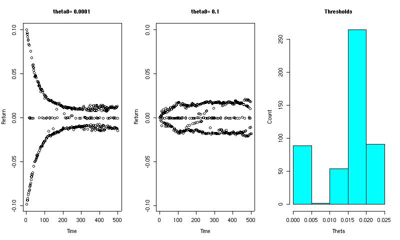
Here we show the return series that results when agents are initialized to have the same small/large threshold.
The first graph shows how low-threshold agents gradually become more "conservative", and the second
graph shows how overly conservative agents gradually become more "liberal". See Samperi (2006a) for discussion.

AgentThresholds